• Предмет: Химия
  • Автор: tadahan13062013
  • Вопрос задан 3 года назад

сколько будет Mr(No2 So3)

Ответы

Ответ дал: garadzha17
0

Ответ:

46 80

Объяснение:

Приложения:
Ответ дал: CodedEmerald
1

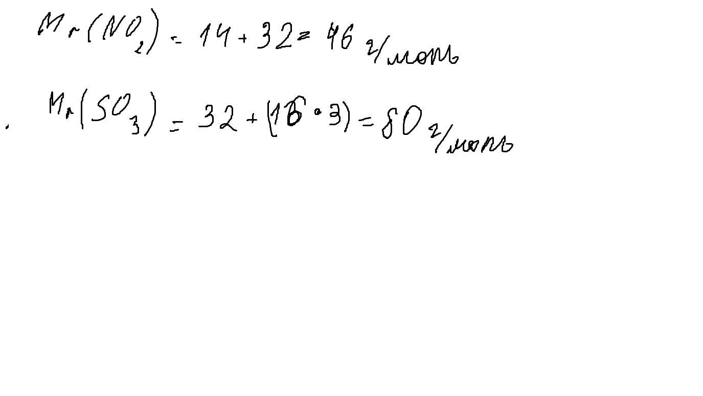
Ответ:

Mr(NO₂) = 46

Mr(SO₃) = 80

Объяснение:

Mr(NO₂) = 14 + 16*2 = 14 + 32 = 46

Mr(SO₃) = 32 + 16*3 = 32 + 48 = 80

Вас заинтересует