• Предмет: Математика
  • Автор: batrambetovd
  • Вопрос задан 3 года назад

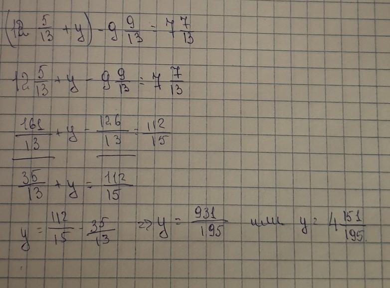
Решить уравнение
(12 5/13+у)-9 9/13=7 7/13​

Ответы

Ответ дал: assade
1

Ответ:

вот списывай думаю верно )))))

Приложения:
Вас заинтересует