Ответы
Ответ дал:
0
Ответ:
будет 18 18/25
Пошаговое объяснение:
там очень долго но это правильно (решала сама)
Ответ дал:
0
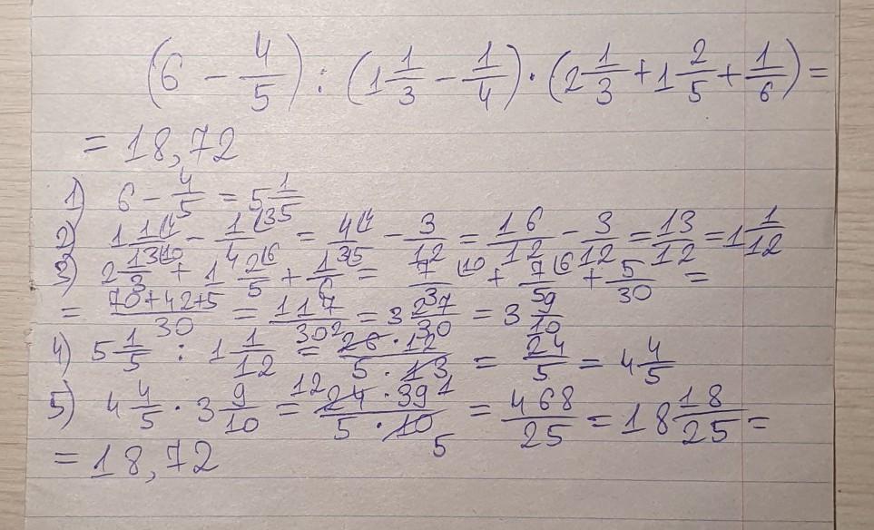
Ответ:
18,72
Пошаговое объяснение:
Смотри прикреплённый листочек
Приложения:

Вас заинтересует
2 года назад
2 года назад
2 года назад
2 года назад
7 лет назад
7 лет назад
9 лет назад