• Предмет: Математика
  • Автор: abdikarimovnural
  • Вопрос задан 3 года назад

помогите пж срочно
ппппппппжжжжжжжжжжж

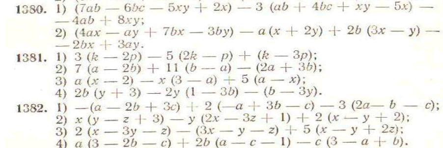
Приложения:

Ответы

Ответ дал: salimasonya
0

Ответ:

у меня не показывает фото которое ты сфоткпл тут написано "Фото отумтвует"

Ответ дал: shapuvalov69
1

Ответ:

Пошаговое объяснение:

7ab-6bc-5xy+2x-3ab-12bc-3xy+15x-4ab+8xy

Привести подобные члены

0-18bc+0+17x

-18bc+17x


abdikarimovnural: очень помог только жаль только 1 зделал но спасибо
Вас заинтересует