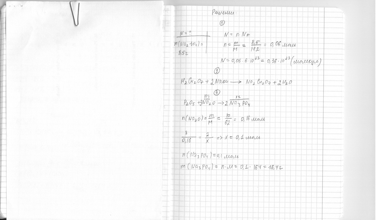
1)Вычислите количество молекул Va2SO4 сульфат натрия 8 50 граммах
2)Уравняйте реакции, расставив каффициенты H2Cr2O7 + 2NaOH ----> Na2Cr2O7 + H2O
3)При взаимодействии оксида фосфора (V) с оксидом натрия, чья масса составляет 10г, образовался ортофосфат натрия (Na3PO4). Определите массу образовавшегося соединения
Ответы
Ответ дал:
0
..............................................
Приложения:

Вас заинтересует
2 года назад
8 лет назад
8 лет назад
10 лет назад
10 лет назад
10 лет назад