• Предмет: Математика
  • Автор: sagymbaevasabina
  • Вопрос задан 3 года назад

4
1
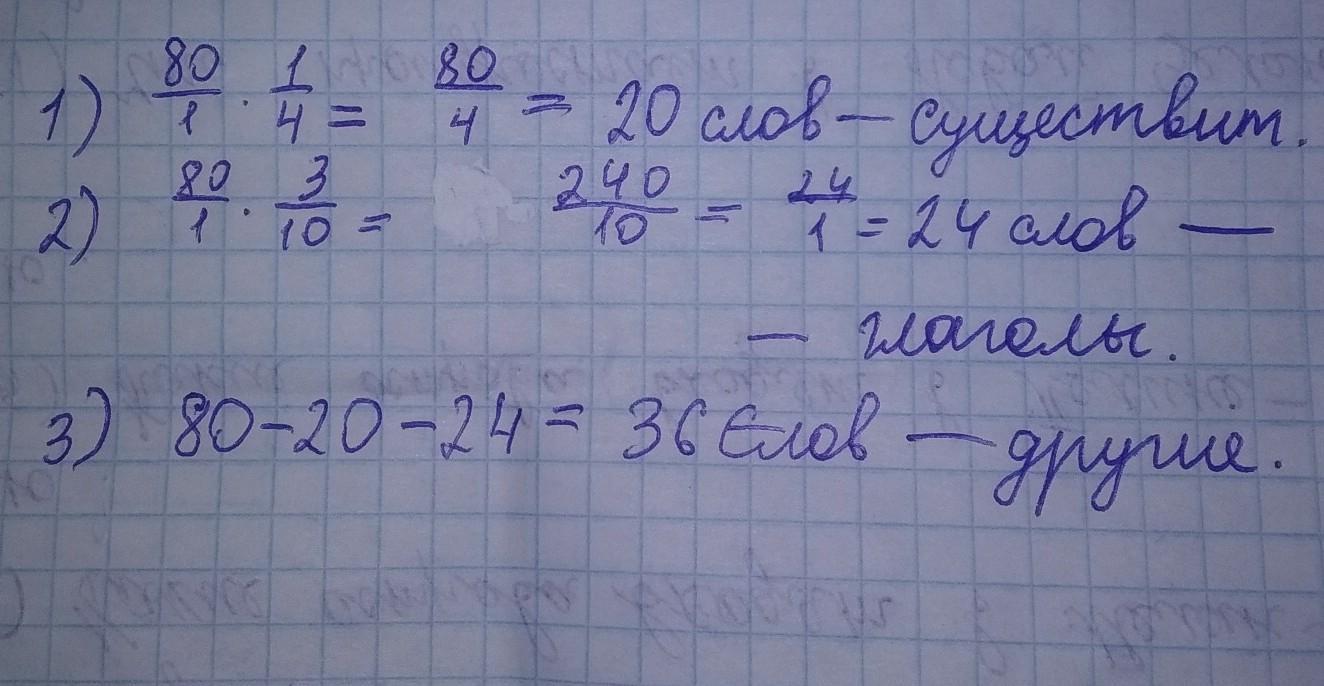
672. В упражнении 80 слов. Из них слов составляют имена
3
существительные, - глаголы, а остальную часть - другие
10
части речи. Сколько в упражнении имен существительных?
глаголов? других частей речи?
пожалуйста быстрее​

Приложения:

Ответы

Ответ дал: harlyqveen
7

Ответ:

Всё показано на фото. Удачи в школе!!

Приложения:

sagymbaevasabina: спасибо
Аноним: спасибо
Вас заинтересует