• Предмет: Математика
  • Автор: Аноним
  • Вопрос задан 3 года назад

Математика ТЖБ 5 класс!

(⊃。•́‿•̀。)⊃(༎ຶ ෴ ༎ຶ)​

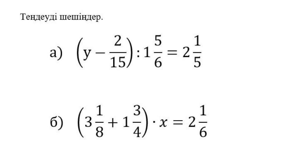
Приложения:

Ответы

Ответ дал: lolcat15
1

а) y-2/15=2 1/5*1 5/6

y-2/15 = 4 1/30

y = 4 1/30 + 2/15

y = 4 1/6

б) 3 1/8 + 1 3/4 = 2 1/6 : x

3 1/8 + 1 3/4 = 4 7/8

2 1/6 : 4 7/8 = 4/9

x = 4/9

Хорошего дня! :)


Аноним: сп
Вас заинтересует