• Предмет: Математика
  • Автор: ZPeHNe
  • Вопрос задан 3 года назад

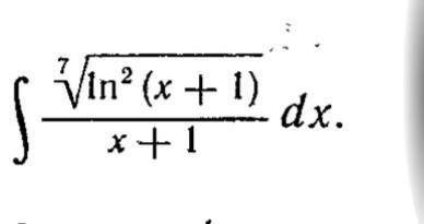
помогите решить интеграл

Приложения:

Ответы

Ответ дал: Miroslava227
1

Ответ:

замена:

 ln(x + 1)  = t \\ ( ln(x + 1)) dx = dt \\  \frac{1}{x + 1} dx = dt

\int\limits {t}^{ \frac{2}{7} } dt =  \frac{ {t}^{ \frac{9}{7} } }{ \frac{9}{7} }  + c =   \frac{7}{9} t \sqrt[7]{ {t}^{2} }  + C =  \\  =  \frac{7}{9}   \sqrt[7]{ {ln}^{9} (x + 1)}  + C

Вас заинтересует