• Предмет: Математика
  • Автор: Ramilia122
  • Вопрос задан 3 года назад

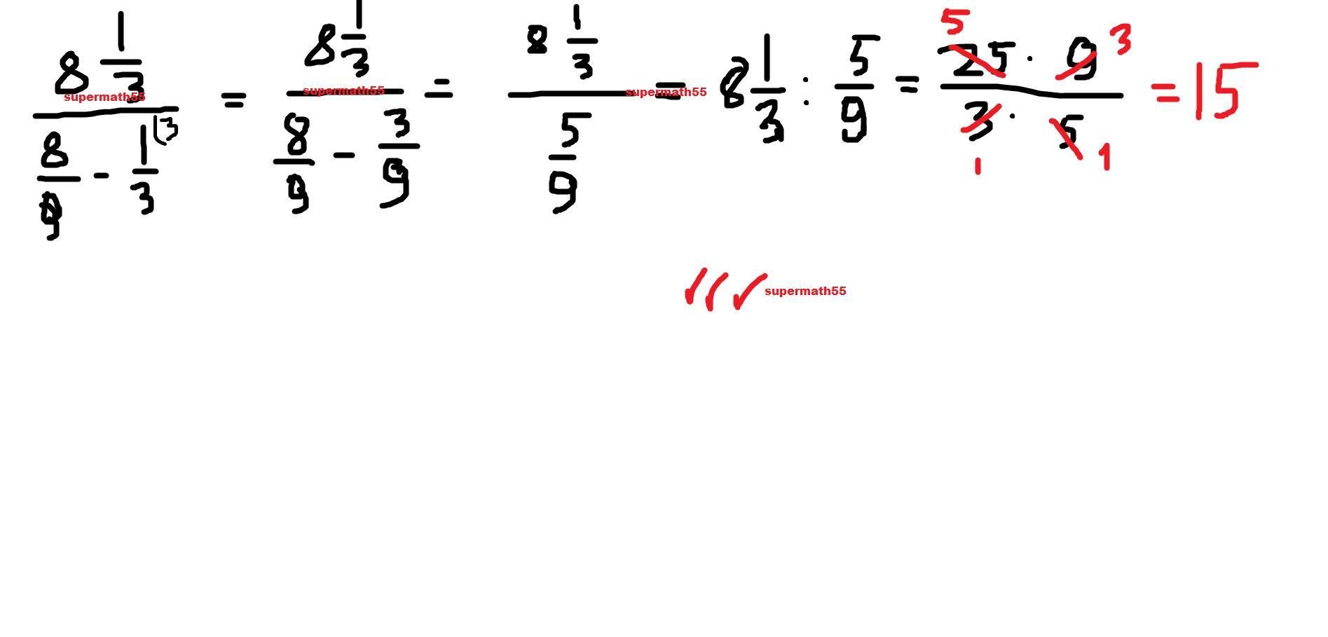
754. 1) 3/1-1/2 2) 1-1/4/1 1/2 3)2/3+1/4/5/6+2/3 4) 7/18+1/6/2 1/2+5/6
Это мне очень очень сложно решать
Эммм перевернуть надо и там пример
помогите пожалуйста​

Приложения:

Ramilia122: ээээ это не ответ
liadiy142: так можно не 3 примера а сколько угодно решить
Аноним: оо! я решу!!!
Аноним: жди) ради +50

Ответы

Ответ дал: Аноним
23

Ответ:)

удачи в учёбе!

Пошаговое объяснение: смотри на фото!! ↓↓ с наступающим 2021!

в закрепе 2 фото)

Приложения:

Ramilia122: И тебя тоже с наступающим
Аноним: спасибо)
Аноним: взаимно
Аноним: спасибо)
Ramilia122: Пожалуйста
Аноним: ;)
Вас заинтересует