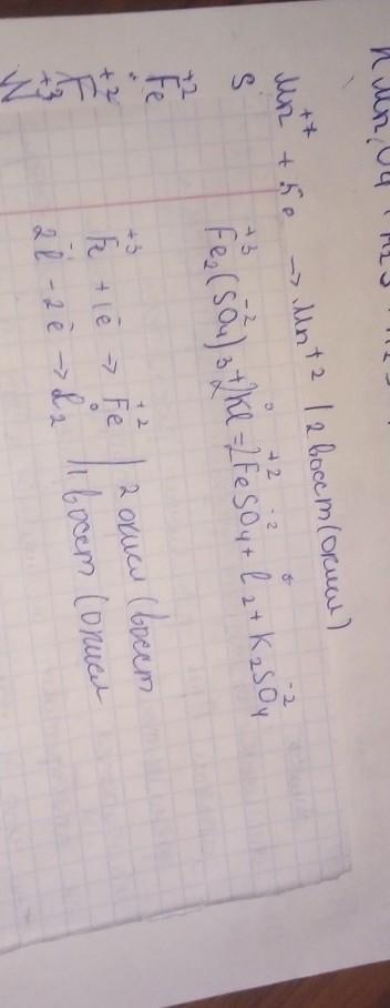
Fe2(SO4)3+KI=FeSO4+I2+K2SO4
используя метод электронного баланса, составьте уравнение реакции по схеме: Определите окислитель и восстановитель.
дам 10 или 20 баллов
срочно пожалуйста
Ответы
Ответ дал:
1
на фото....................
Приложения:
Вас заинтересует
2 года назад
2 года назад
3 года назад
3 года назад
8 лет назад
9 лет назад
9 лет назад