• Предмет: Химия
  • Автор: kolesnikmax
  • Вопрос задан 3 года назад

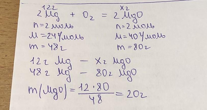
розрахувати m оксиду Mg, який утвориться при окисленні Mg, m=12г​

Ответы

Ответ дал: svetka1574
2

Ответ:

ответ смотри во вложении

Приложения:
Вас заинтересует