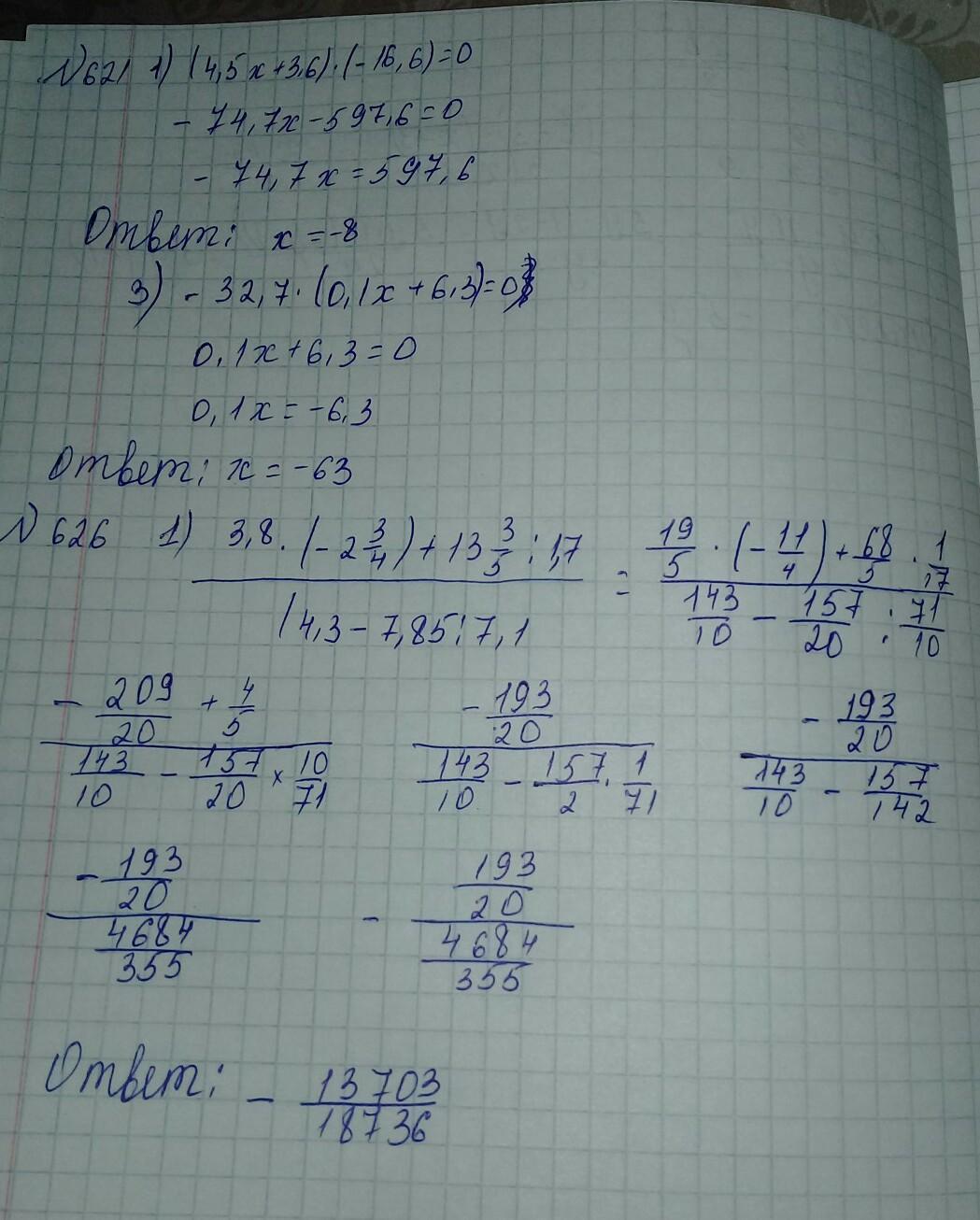
решить уравнение: №621 1) 3)
Вычислите: №626 1)
Приложения:


Аноним:
ТУТ №626 №621
Ответы
Ответ дал:
2
Вот вам понятно мой потчеркт ?
Я вас поздравляю сновым годом желаю вам огромное счастье
Приложения:

Вас заинтересует
2 года назад
2 года назад
2 года назад
7 лет назад
7 лет назад
9 лет назад
9 лет назад