• Предмет: Алгебра
  • Автор: katyavetka
  • Вопрос задан 3 года назад

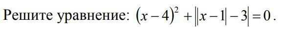
Решите с ходом решения пожалуйста)

Приложения:

Ответы

Ответ дал: julikazn
0

Ответ:

ниже

Объяснение:

х^2-8x+16+llx-1l-3=0

разделим ур-ние на 2 возможных случая:

1)х^2-8x+16+lx-1l-3=0,lx-1l-3>=0

2)x^2-8x+16-(lx-1l-3)=0,lx-1l-3<0

x=3

      ,x принадлежит (-бесконечность;-2] U [4;+бесконечность)

х=4

х=4

       , х принадлежит (-2;-4)

х=5

х=4

х=пустое множество

ответ х=4

Вас заинтересует