• Предмет: Математика
  • Автор: toma613
  • Вопрос задан 3 года назад

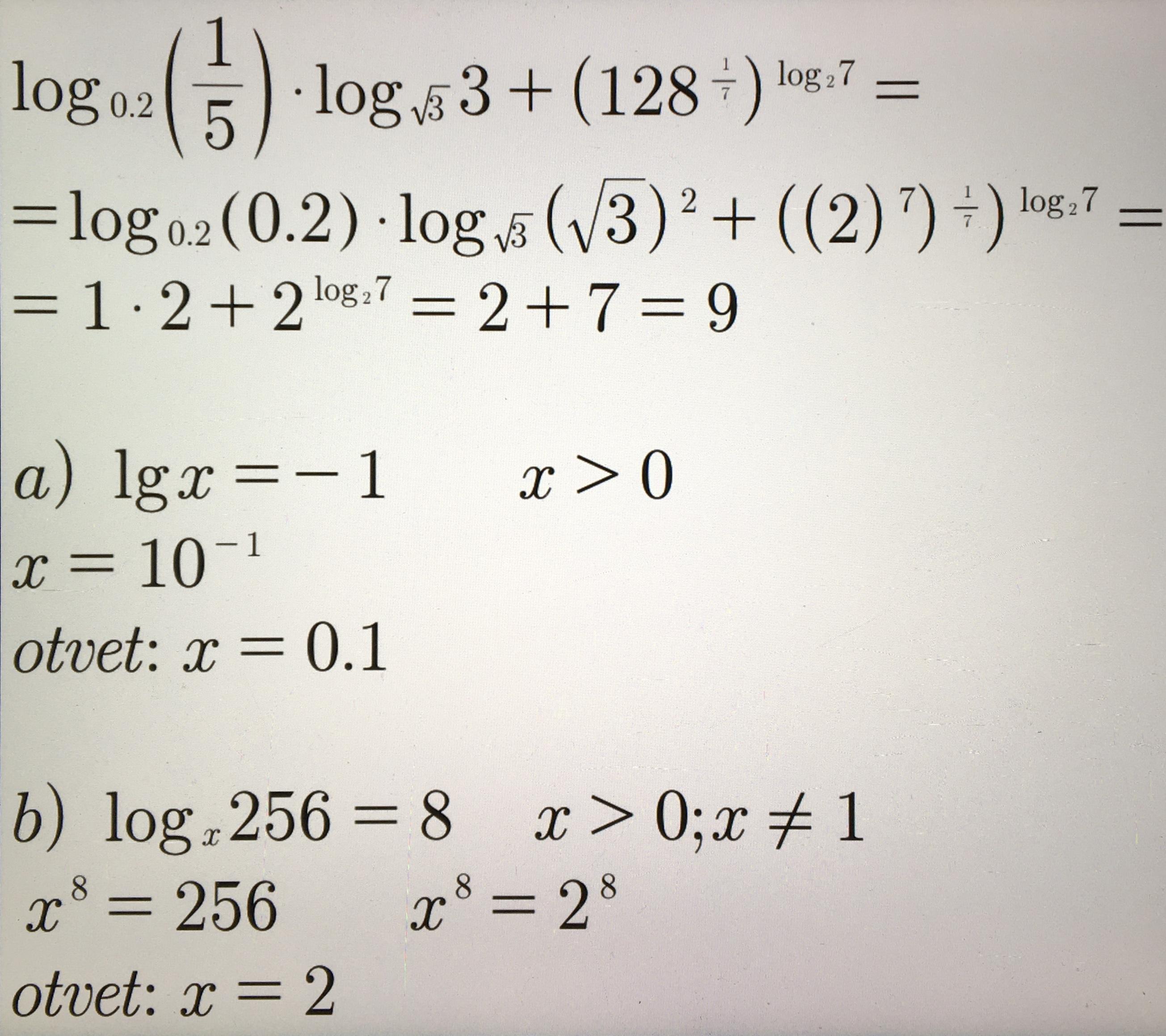
помогите с математикой
логарифм числа

Приложения:

Simba2017: 2а)x=10^(-1)=0.1
Simba2017: б)x^8=256; x=2
toma613: и всё? а где решения и другая фигня
Simba2017: понятно все с вами........
toma613: спасибо большое ♡♡♡

Ответы

Ответ дал: tamarabernukho
1

Ответ:

Пошаговое объяснение:

Если правильно поняла условие первого задания..

Приложения:
Вас заинтересует