• Предмет: Алгебра
  • Автор: ippir
  • Вопрос задан 3 года назад

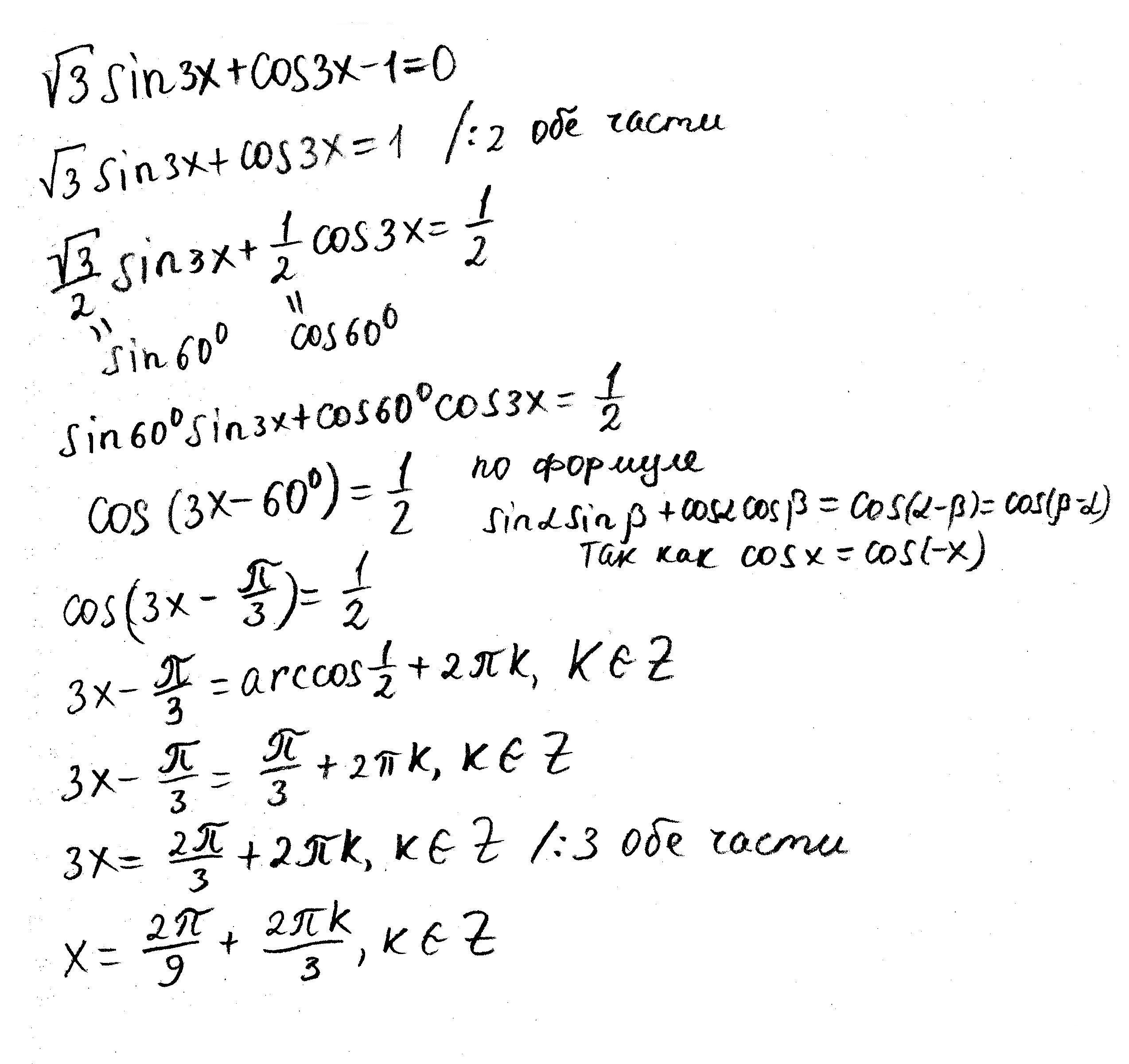
√3sin3x+cos3x-1=0 срочно нужно помогите

Ответы

Ответ дал: bearcab
1

Ответ:

x=\frac{2\pi}{9}+\frac{2\pi*k}{3},\,\,k\in Z

Объяснение:

Решение в приложении

Приложения:
Вас заинтересует