• Предмет: Математика
  • Автор: lomot1990
  • Вопрос задан 3 года назад

Срочно!!!!!!!!!!!!!!!!!!!!!

Приложения:

Ответы

Ответ дал: pushpull
1

Ответ:

Пошаговое объяснение:

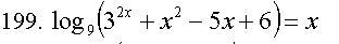
log₉(3²ˣ +x²-5x+6)=x

по определению логарифма logₐb=c это   a^c = b

9ˣ = (3²)ˣ +x²-5x +6  ⇒  x²-5x +6  ⇒ x₁ = 2;   x₂ = 3

Вас заинтересует