• Предмет: Математика
  • Автор: nickjsoGgsgshswell
  • Вопрос задан 3 года назад

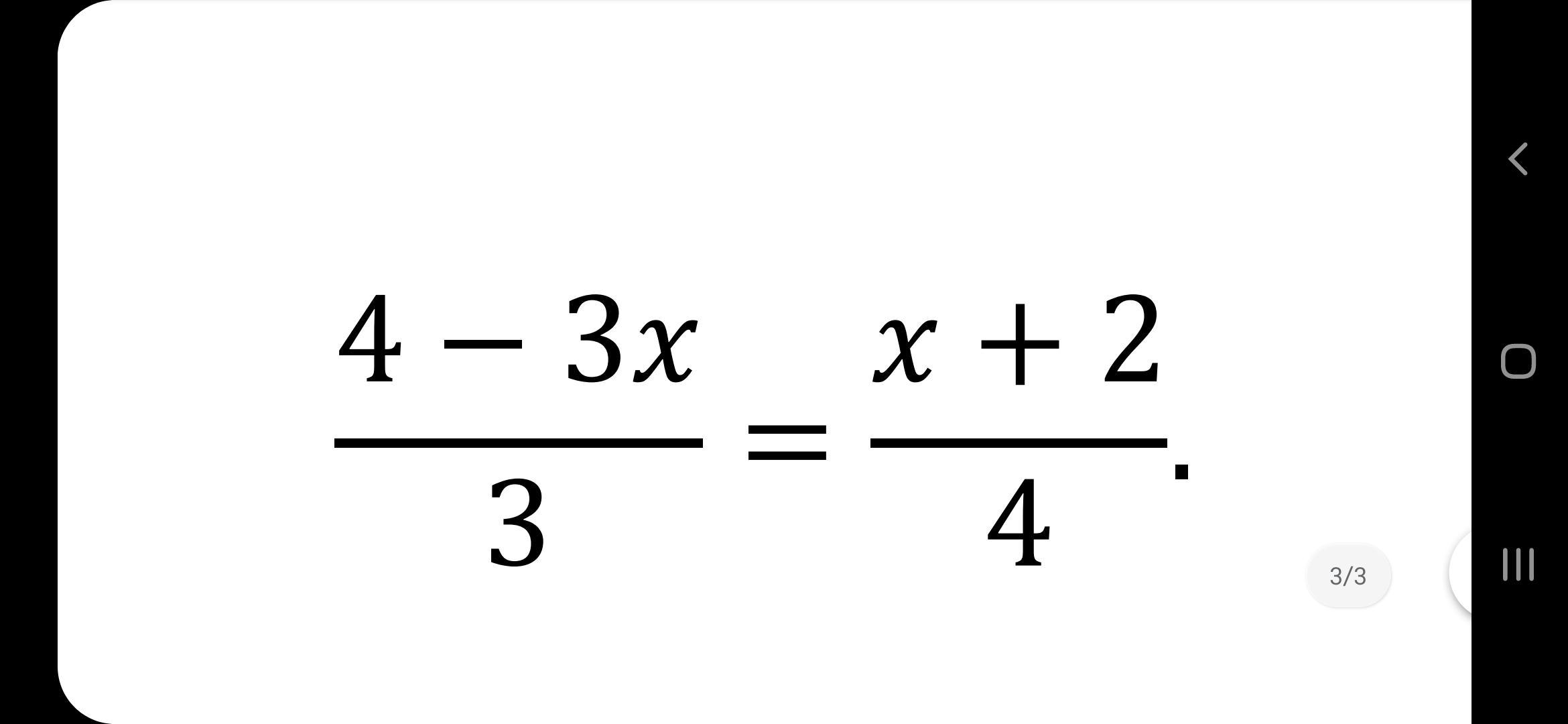
РЕШИТЕ УРАВНЕНИе СРОЧНО

Приложения:

Ответы

Ответ дал: lokiju777888
0

Ответ:

Общее делимое 12,избавляемя от делителей

Приложения:

nickjsoGgsgshswell: Не понял
Вас заинтересует