• Предмет: Химия
  • Автор: Аноним
  • Вопрос задан 3 года назад

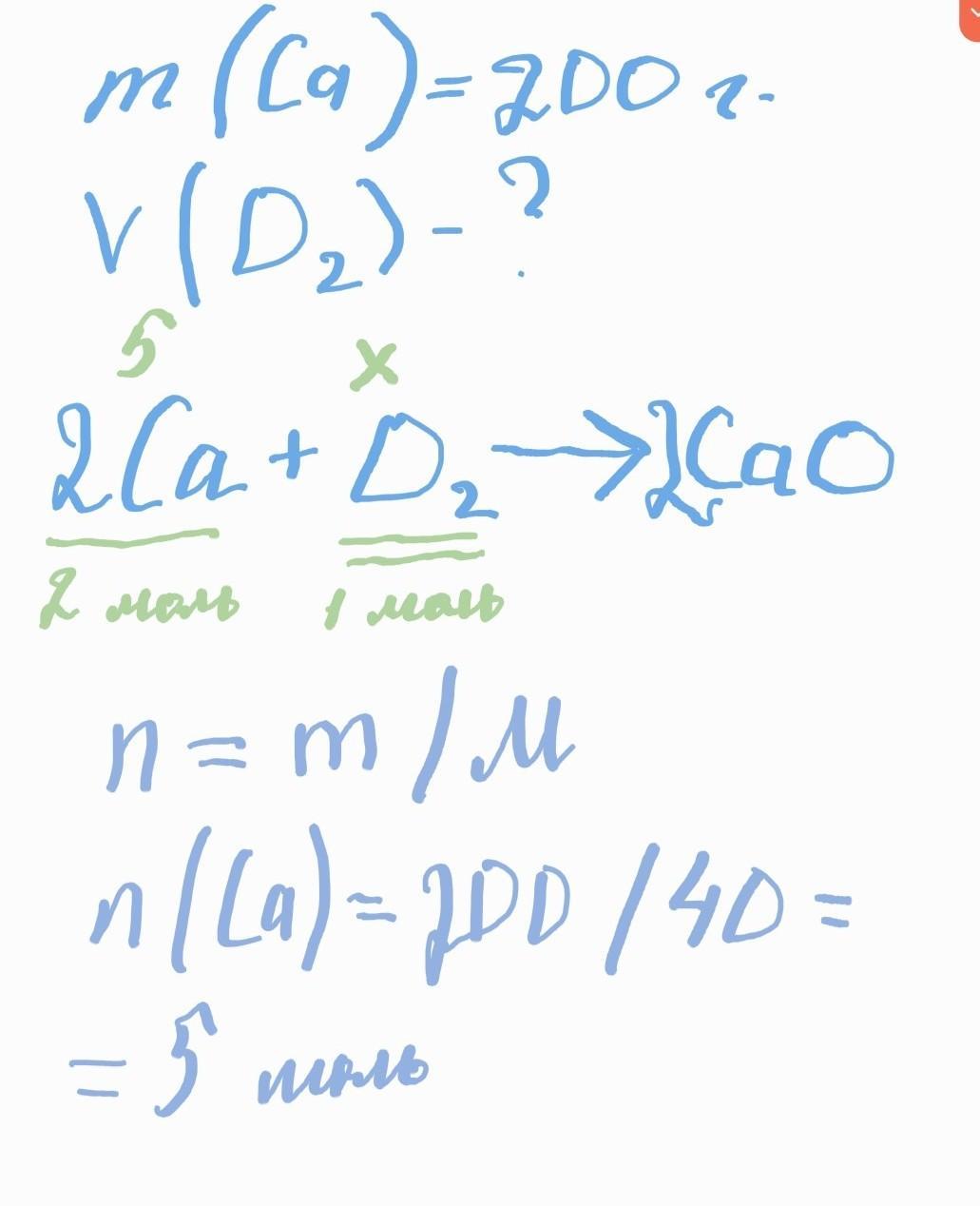
Рассчитать объем кислорода который необходимо взять для взаимодействия с 200 г кальция.
СРОЧНО!!!!!! ​

Ответы

Ответ дал: supersonichedgehog
1

Ответ:

..........................

Приложения:
Вас заинтересует