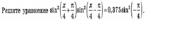
решить ............................................
Приложения:

Simba2017:
из чужих приложений решений не писать....
Ответы
Ответ дал:
2
Ответ:
Вас заинтересует
2 года назад
2 года назад
2 года назад
2 года назад
7 лет назад