• Предмет: Математика
  • Автор: atalykovaaaa
  • Вопрос задан 3 года назад

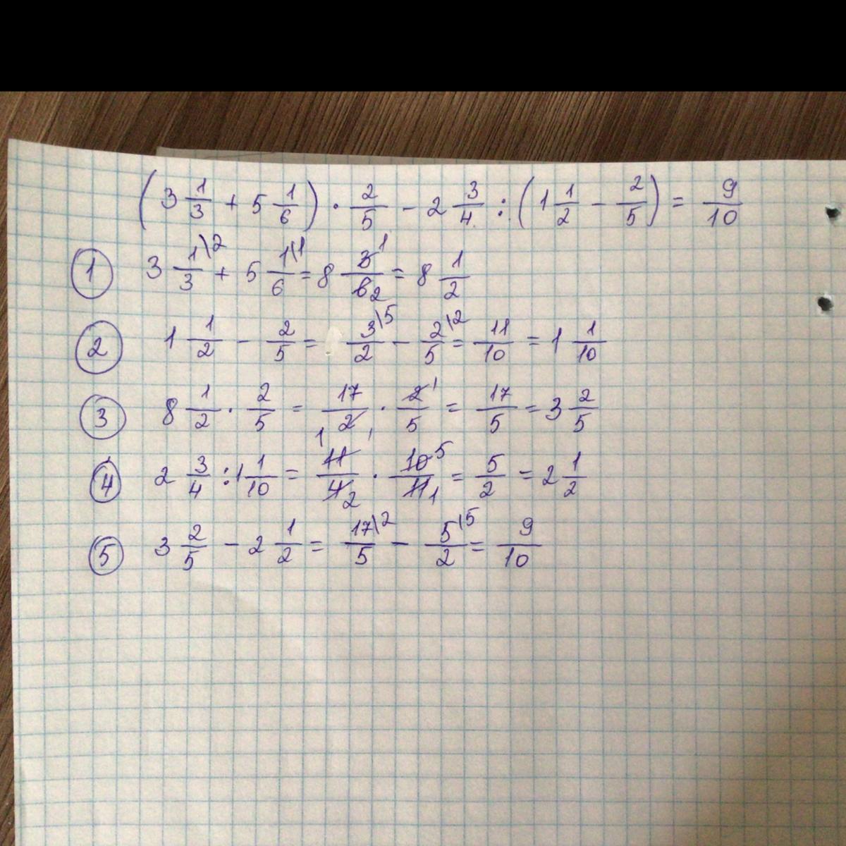
Вычислите: (3⅓+5⅙)×⅖-2¾÷(1½-⅖)
Пж помогите срочно надо ​

Ответы

Ответ дал: Kamilla1907
1
Вот ответ............
Приложения:

atalykovaaaa: Огромное вам спасибо !!!
atalykovaaaa: По позже сделаю лучшим ответом
Kamilla1907: Не за что, спасибо
Вас заинтересует