Ответы
Ответ дал:
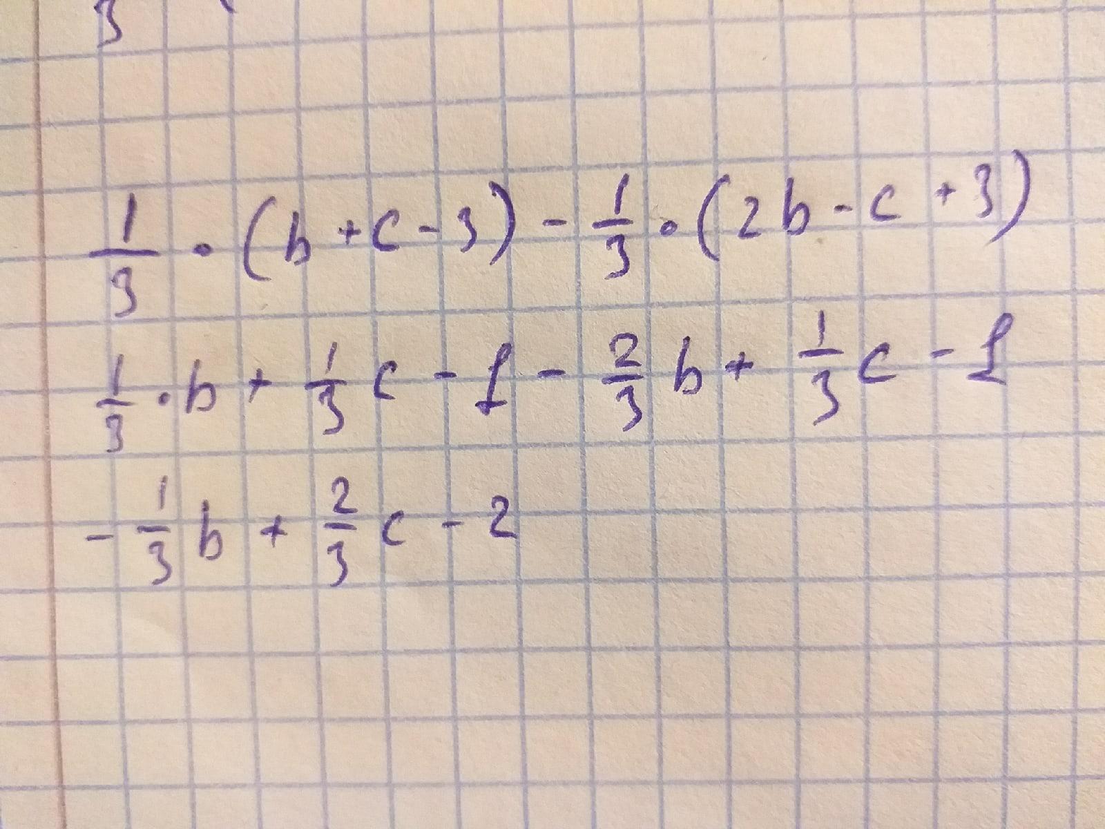
1
Ответ: 4
Пошаговое объяснение
Приложения:

Аноним:
спасибо
Вас заинтересует
2 года назад
2 года назад
7 лет назад