• Предмет: Математика
  • Автор: danilakostiv
  • Вопрос задан 3 года назад

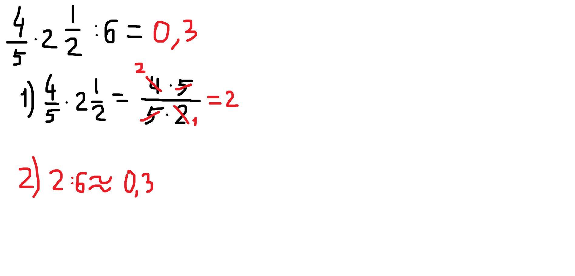
4/5•2 1/2: 6 вычисли​

Ответы

Ответ дал: Аноним
0

Ответ: 4/5•2 1/2: 6≈0,3

Пошаговое объяснение: смотри на фото!!

Приложения:
Вас заинтересует