• Предмет: Математика
  • Автор: Аноним
  • Вопрос задан 3 года назад

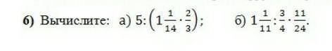
Вычислите:   а. 5: 1 1/14 × 2/3) : б.1 1/11 : 3/4 × 11/24​

Приложения:

Ответы

Ответ дал: kiseleffrom2016yande
1

Ответ:

1) ответ 7; 2) 0,6

Пошаговое объяснение:

Смотри прикреплённые фотографии

Приложения:

Аноним: блин а ты можешь написать а то я не розбираюсь
Аноним: полностью примеры
Вас заинтересует