• Предмет: Математика
  • Автор: skakovzhanat
  • Вопрос задан 3 года назад

решите пожалуйста пожалуйста срочно​

Приложения:

nikolaiglazof2015: погоди
skakovzhanat: ок
nikolaiglazof2015: сорян
nikolaiglazof2015: никак(
skakovzhanat: эх ладно

Ответы

Ответ дал: melnikovaleksei407
2

Ответ:

(х + 1/1/12) = 4/3/4 + 2/1/6

(х + 1/1/12) = 6/10/6

Х= 6/10/6 - 1/1/12=

Х= 5/9/7

Ответ:5/9/7

Пошаговое объяснение:

Если помог вот и хорошо


skakovzhanat: спасибо
Ответ дал: MatemaT123
1

Ответ:

-3\frac{2}{3}

Пошаговое объяснение:

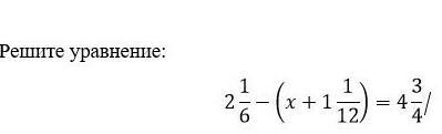
2\frac{1}{6}-(x+1\frac{1}{12})=4\frac{3}{4};

2\frac{2}{12}-(x+1\frac{1}{12})=4\frac{9}{12};

x+1\frac{1}{12}=2\frac{2}{12}-4\frac{9}{12};

x=2\frac{2}{12}-1\frac{1}{12}-4\frac{9}{2};

x=2-1-4+\frac{2}{12}-\frac{1}{12}-\frac{9}{12};

x=1-4+\frac{1}{12}-\frac{9}{12};

x=-3-\frac{8}{12};

x=-3-\frac{2}{3};

x=-(3+\frac{2}{3});

x=-3\frac{2}{3};

Вас заинтересует