• Предмет: Алгебра
  • Автор: maschaa2018
  • Вопрос задан 3 года назад

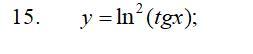
Вычислить производную функции

Приложения:

Ответы

Ответ дал: MatemaT123
0

Ответ:

\frac{4ln(tgx)}{sin2x}

Объяснение:

y=ln^{2}(tgx);

y'=(ln^{2}(tgx))';

y'=2ln(tgx) \cdot \frac{1}{tgx} \cdot \frac{1}{cos^{2}x};

y'=2ln(tgx) \cdot ctgx \cdot \frac{1}{cos^{2}x};

y'=2ln(tgx) \cdot \frac{cosx}{sinx \cdot cosx \cdot cosx};

y'=2ln(tgx) \cdot \frac{1}{sinx \cdot cosx};

y'=2ln(tgx) \cdot \frac{2}{2 \cdot sinx \cdot cosx};

y'=2ln(tgx) \cdot \frac{2}{sin2x};

y'=\frac{4ln(tgx)}{sin2x};


NNNLLL54: 3 строчка - так нельзя записывать, исходя из формулы для производной сложной функции
MatemaT123: Спасибо. Исправил.
Ответ дал: NNNLLL54
0

Ответ:

y=ln^2(tgx)\\\\\star \ \ (u^2)'=2u\cdot u'\ \ ,\ \ u=ln(tgx)\star \\\\y'=2\, ln(tgx)\cdot (ln(tgx))'=\Big[\ (lnu)'=\dfrac{1}{u}\cdot u'\ \ ,\ \ u=tgx\ \Big]=\\\\\\=2\, ln(tgx)\cdot \dfrac{1}{tgx}\cdot (tgx)'=2\, ln(tgx)\cdot \dfrac{1}{tgx}\cdot \dfrac{1}{cos^2x}=\\\\\\=2\, ln(tgx)\cdot \dfrac{cosx}{sinx}\cdot \dfrac{1}{cos^2x}=2\, ln(tgx)\cdot \dfrac{1}{sinx\cdot cosx}=\dfrac{2\, ln(tgx)}{0,5\cdot sin2x}=\dfrac{4\, ln(tgx)}{sin2x}

Вас заинтересует