• Предмет: Математика
  • Автор: ivan5klass
  • Вопрос задан 3 года назад

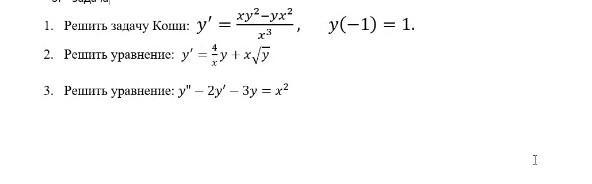
Решите что то пожалуйста

Приложения:

Ответы

Ответ дал: saltanat260584
2

Ответ:

,8-/÷6/_9:'\~35/÷5£50=257

Ответ дал: turbalataukekhan
0

Ответ:

Пошаговое объяснение:


turbalataukekhan: блин шифр не пишется
Вас заинтересует