Ответы
Ответ дал:
0
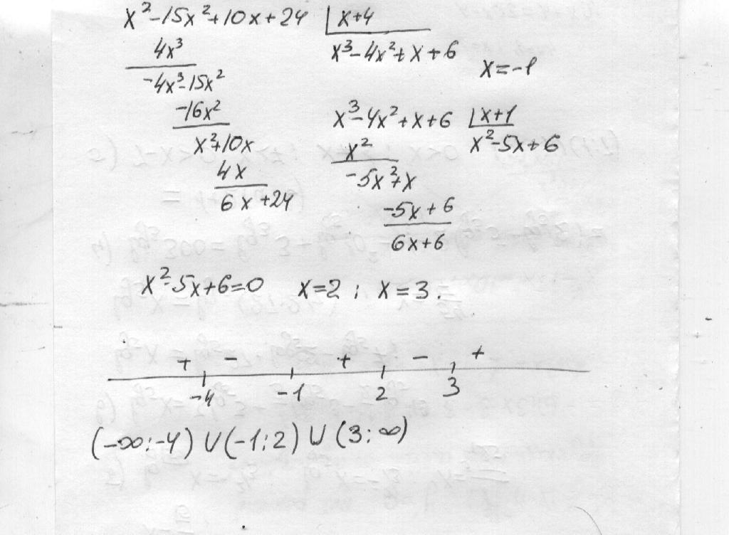
x=-4 x=-1 x=3 x=2
(x-2)(x-3)(x+1)(x+4)>0
поставь если не трудно лучшее
(x-2)(x-3)(x+1)(x+4)>0
поставь если не трудно лучшее
Приложения:
Вас заинтересует
3 года назад
3 года назад
8 лет назад
11 лет назад
11 лет назад
11 лет назад