СРОЧНО!!!!!!! МАТЕМАТИКА ПОМОГИТЕ!!!!!!!!!!!
Приложения:

matvey99pro:
Ну ответьте
Ответы
Ответ дал:
1
Ответ:
1)6/25
2)2
Пошаговое объяснение:
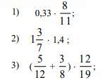
1)0,33•8/11
33/100•8/11
3/25•2
6/25
2)1 3/7•1,4
10/7•7/5
2
/-это дробь
Ответ дал:
0
Ответ:
1) 0,33*8/11
33/100*8/11
3/25*2
6/25 или 24/100=0,24
2)1целых 3/7*1,4
10/7*7/5
2
3) (5/12+3/8)*12/19
19/24*12/19
1/24*12
1/2 или 0,5
Пошаговое объяснение:
Вас заинтересует
2 года назад
7 лет назад
7 лет назад
9 лет назад