• Предмет: Математика
  • Автор: Аноним
  • Вопрос задан 3 года назад

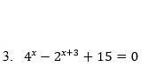
Найдите корни уравнений

Приложения:

Ответы

Ответ дал: Аноним
0

.........................................

Приложения:
Вас заинтересует