• Предмет: Алгебра
  • Автор: rabbitti
  • Вопрос задан 3 года назад

Срочно помогите пожалуйста ​

Приложения:

Ответы

Ответ дал: Miroslava227
1

Ответ:

1.

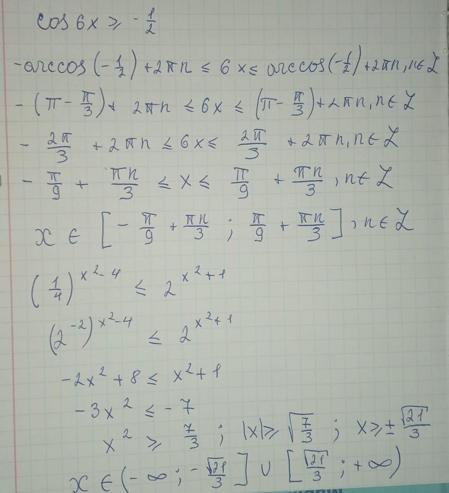
 \cos(6x)  \geqslant  -  \frac{1}{2}

рисунок

6x∈[ -  \frac{2\pi}{3}  + 2\pi \: n; \frac{2\pi}{3}  + 2\pi \: n] \\ x∈[ -  \frac{\pi}{9}  +  \frac{\pi \: n}{3} ; \frac{\pi}{9}  +  \frac{\pi \: n}{3} ]

n принадлежит Z.

2.

 {( \frac{1}{4}) }^{ {x}^{2}  - 4}  \leqslant  {2}^{ {x}^{2} + 1 }  \\  {2}^{ - 2( {x}^{2}  - 4)}  \leqslant  {2}^{ {x}^{2} + 1 }  \\  - 2 {x}^{2}  + 8 \leqslant  {x}^{2}  + 1 \\  - 3 {x}^{2}  \leqslant  - 7 \\ 3 {x}^{2}  \geqslant 7 \\  {x}^{2}  \geqslant  \frac{7}{3}  \\ (x -  \sqrt{ \frac{7}{3} } )(x +   \sqrt{ \frac{7}{3} } ) \geqslant 0 \\ x∈( -  \infty  ;-  \sqrt{ \frac{7}{3} } ]U[\sqrt{ \frac{7} {3}  } ; +  \infty )

Приложения:

rabbitti: можете чекнуть вопрос про вероятность??
Ответ дал: filuksistersp735lh
1

Ответ:

решение на фото.........

Приложения:
Вас заинтересует