• Предмет: Алгебра
  • Автор: tommyshelby091
  • Вопрос задан 3 года назад

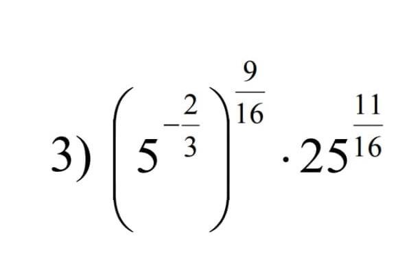
пожалуйста помогите решить.) решение показать надо

Приложения:

Ответы

Ответ дал: kiseleffrom2016yande
0

Ответ:

5

Объяснение:

Смотри прикреплённое фото

Приложения:

tommyshelby091: ахахах photomath
Ответ дал: cashpass01
0

Ответ:

\left(5^{-\frac{2}{3}}\right)^{\frac{9}{16}}\cdot 25^{\frac{11}{16}}\\=5^{-\frac{3}{8}}\cdot \:25^{\frac{11}{16}}\\=5^{-\frac{3}{8}}\left(5^2\right)^{\frac{11}{16}}\\=5^{-\frac{3}{8}}\cdot \:5^{2\cdot \frac{11}{16}}\\=5^{-\frac{3}{8}}\cdot \:5^{\frac{11}{8}}\\=5^{-\frac{3}{8}+\frac{11}{8}}\\=5^1\\5

Объяснение:

Вас заинтересует