• Предмет: Алгебра
  • Автор: dimasustov123
  • Вопрос задан 3 года назад

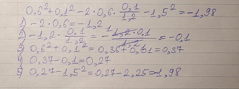
Найдите значение выражения: 0,6^2+0,1^2-2·0,6·0,1/1,2-1,5^2​

Ответы

Ответ дал: CheckmateTheKing
0

Ответ:

-1,98 (смотри объяснение).

Объяснение:

Смотри фотографию.

Приложения:

dimasustov123: ля не пригодился не успел
dimasustov123: на ютубе 4 токих канала какой твой
CheckmateTheKing: У меня просто ник такой, а канала на YouTube у меня нет.
Вас заинтересует