(2) а) Найдите четвёртый член геометрической прогрессии: 6; -2...-
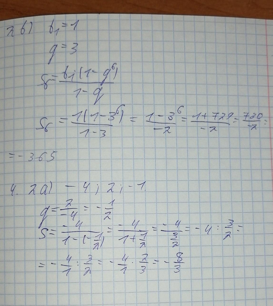
(2) b) Найдите сумму шести первых членов геометрической прогрессии, у которой b=1, q=3
4. (2) а) Найдите сумму бесконечно убывающей геометрической прогрессии -4;2;-1;...
Ответы
Ответ дал:
1
Ответ:
Решение представлено на фотографиях
Приложения:


0JJ:
Можешь сейчас ответить ты не занет
Ответ дал:
0
Объяснение:
1.
6; -2; ... b₄=?
2.
b₁=1 q=3 S₆-?
3.
-4; 2; -1; ...
Вас заинтересует
2 года назад
2 года назад
2 года назад
2 года назад
7 лет назад
7 лет назад
9 лет назад