• Предмет: Алгебра
  • Автор: Аноним
  • Вопрос задан 3 года назад

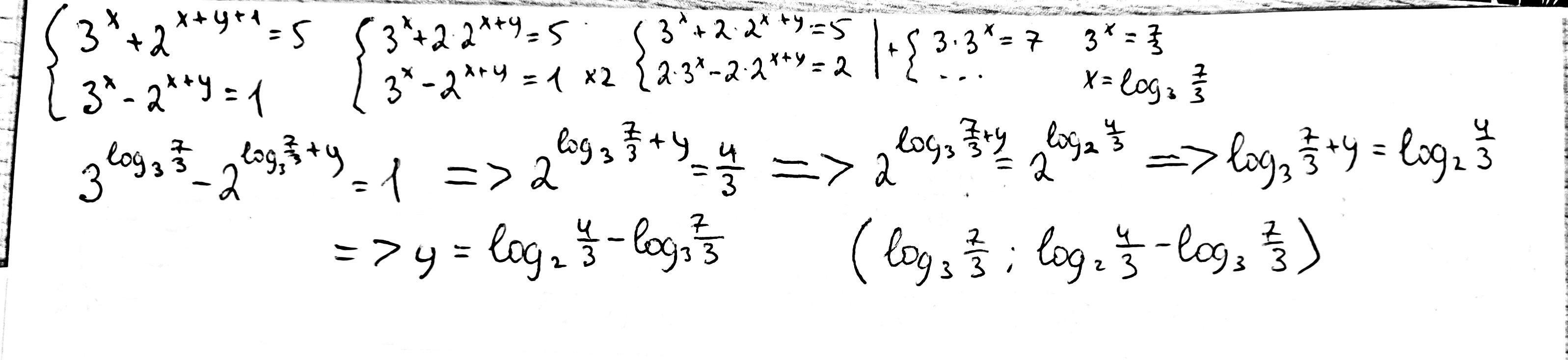
Система уравнений
3^x+2^(x+y+1)=5
3^x-2^(x+y)=1
\left \{ {{3^{x}+2^{x+y+1} =5} \atop {3^{x} -2^{x+y} =1}} \right.

Ответы

Ответ дал: Ифигения
1

Ответ:

Объяснение:

Во вложении

Приложения:
Вас заинтересует