• Предмет: Математика
  • Автор: danizgalamov2009
  • Вопрос задан 3 года назад

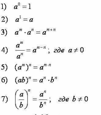
Объясните степень.
Пожалуйста, на уроке ничего не понял.
Математика​

Ответы

Ответ дал: Аноним
1

Ответ:

это я примером объяснять.буду

типов вот 2 в степени 2

это надо 2 ×2

или 3 в степени 4

то будет 3×3×3×3

Как-то так


danizgalamov2009: Спасибо, вы просто спаситель
Ответ дал: tataandrus2007
0

Ответ:

Підне́сення до сте́пеня — бінарна операція, записується як для основи степеня та показника степеня в результаті застосування отримується степінь. Якщо n — натуральне число, піднесення до степеня відповідає n-кратному множенню: Подібно до того, як множення на ціле число відповідає багатократному додаванню

Приложения:
Вас заинтересует