Ответы
Ответ дал:
0
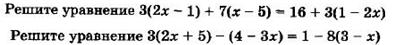
6х - 3 + 7х - 35 = 16 + 3 - 6х
6х + 6х + 7х = 16 + 3 + 3 + 35
19х = 57
х = 3
6х + 15 - 4 + 3х - 1 + 24 - 8х = 0
х = -10
6х + 6х + 7х = 16 + 3 + 3 + 35
19х = 57
х = 3
6х + 15 - 4 + 3х - 1 + 24 - 8х = 0
х = -10
Вас заинтересует
3 года назад
8 лет назад
8 лет назад
11 лет назад
11 лет назад
11 лет назад