Ответы
Ответ дал:
0
x-y=a
x²+y²=8
(x-y)=a²
x²-2xy+y²=a²
-2xy+8=a²
a=±√(8-2xy)
fatimehuseynova905:
это не правильно
Ответ дал:
0
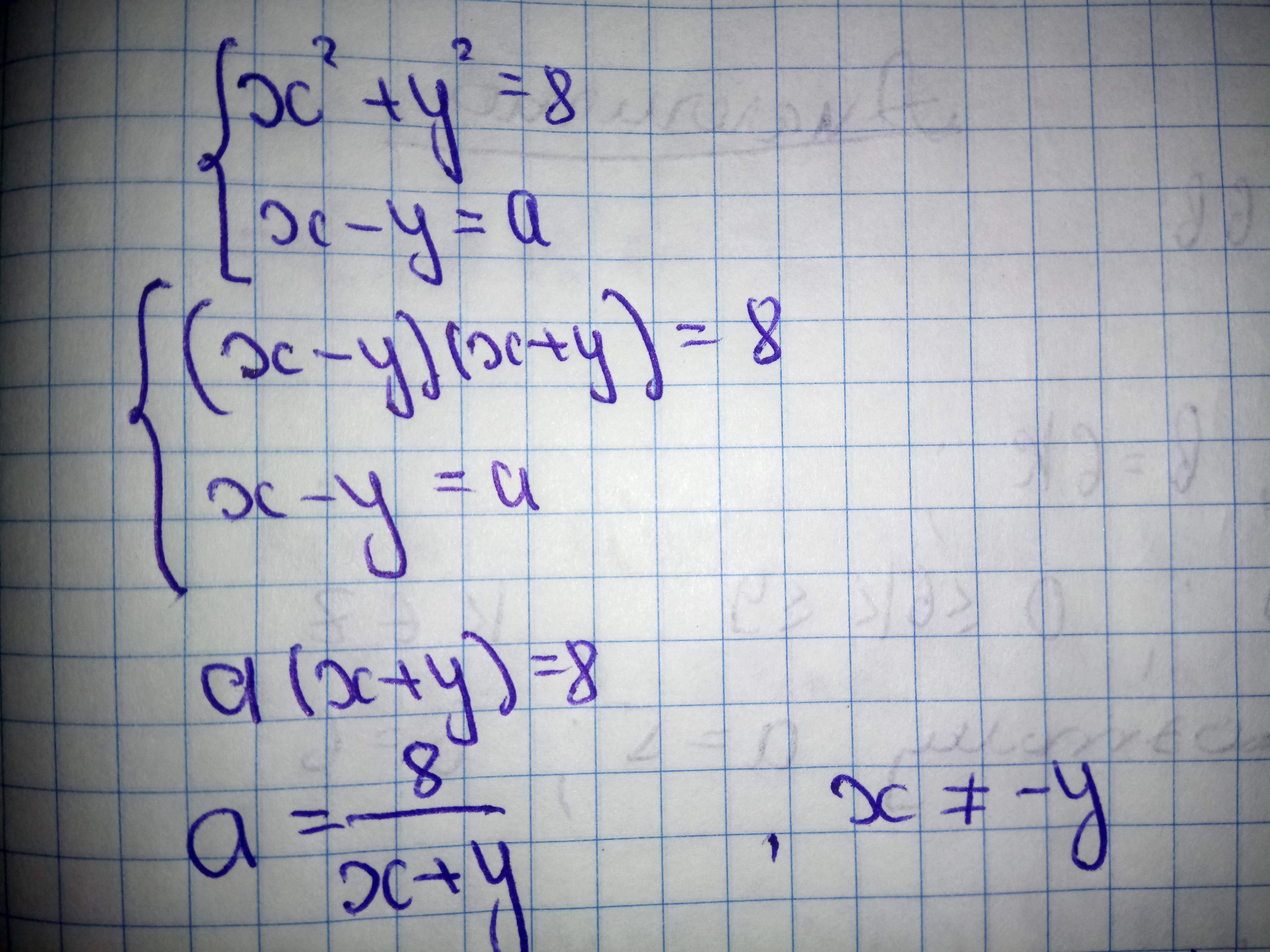
Решение задания прилагаю
Приложения:

Вас заинтересует
2 года назад
2 года назад
2 года назад
2 года назад
7 лет назад
9 лет назад