• Предмет: Алгебра
  • Автор: dowpspcp
  • Вопрос задан 3 года назад

ПОМОГИТЕ, дам 35 баллов

Приложения:

Ответы

Ответ дал: NNNLLL54
1

Ответ:

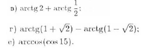
1)\ \ arctg2+arctg\dfrac{1}{2}=arctg2+arcctg2=\dfrac{\pi}{2}

2)\ \ arctg(1+\sqrt2)-arctg(1-\sqrt2)=arctg(1+\sqrt2)+arctg(\sqrt2-1)=\\\\=arctg(1+\sqrt2)+arctg\dfrac{1}{1+\sqrt2}=arctg(1+\sqrt2)+arcctg(1+\sqrt2)=\dfrac{\pi}{2}

3)\ \ arccos(cos15^\circ )=15^\circ \\\\Esli\ 15\ radian\ ,\ to\ \ arccos(cos15)=arccos(cos(15-2\pi))=15-2\pi \ ,\\\\tak\ kak\ \ (15-2\pi )\in [\ 0\ ;\ \pi\ ]

Вас заинтересует