Ответы
Ответ дал:
1
Ответ:
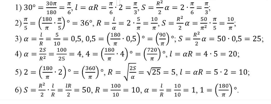
Я приложу решение на фото , если вы не против.
Пошаговое объяснение:
Нам нужны формулы :
L = альфаR
S = (R^2/2)альфа
S = L^2/2a
Потом мы решаем ,используя эти формулы:
(Процесс решения тоже вложу на фото)
Приложения:


lesnikovaa546:
Огромное спасибо!!!
Ответ дал:
0
Ответ: 50 , 20,30,5 0,
2,3,6,1,
1,2,8,6,
50,060,80,
90
Пошаговое объяснение:
вроде правильно или НЕТ
Вас заинтересует
2 года назад
2 года назад
7 лет назад
7 лет назад
9 лет назад