• Предмет: Алгебра
  • Автор: ashanova81
  • Вопрос задан 3 года назад

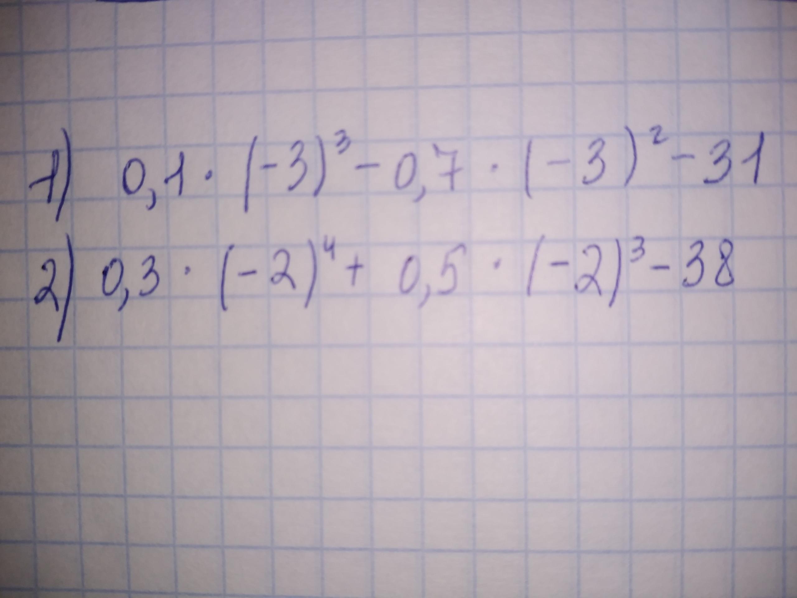
помогите,пожалуйста! (хотя бы с одним)

Приложения:

Ответы

Ответ дал: CheckmateTheKing
1

Ответ:

1) -34,6

2) -29,2

Объяснение:

1) 0,1×(-3)³-0,7×(-3)²-31=-33,9

1. 0,1×(-3)³=0,1×27=2,7

2. -0,7×(-3)²=-0,7×9=-6,3

3. 2,7-6,3-31=-34,9

2) 0,3×(-2)⁴+0,5×(-2)³-38=

1. 0,3×(-2)⁴=0,3×16=4,8

2. 0,5×(-2)³=0,5×8=4

3. 4,8+4-38=-29,2

Вас заинтересует