• Предмет: Физика
  • Автор: Аноним
  • Вопрос задан 3 года назад

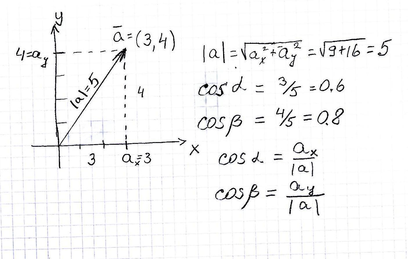
Вектор задан на плоскости своими проекциями на оси x и y: ax = 3 м, ay = 4 м. Найдите модуль и направление вектора.
Прошу отправить фото на тетраде(так понятнее)

Ответы

Ответ дал: MatemaX9
2

Ответ:

Объяснение:

на приложенном ответе найден модуль и направляющие косинусы.  и модуль.

Приложения:

Аноним: Спасибо!
Вас заинтересует