• Предмет: Математика
  • Автор: pandacooll28
  • Вопрос задан 3 года назад

ПОМОГИТЕ ПОЖАЛУЙСТА!
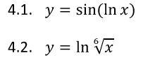
Нужно найти производные сложных функций

Приложения:

Ответы

Ответ дал: natalyabryukhova
1

Ответ:

Пошаговое объяснение:

1)\;\;\;y=sin(lnx)\\\\y'=cos(lnx)*(lnx)'=cos(lnx)*\frac{1}{x} \\\\2)\;\;\;y=ln\sqrt[6]{x}\\\\y'=\frac{1}{\sqrt[6]{x} } *(\sqrt[6]{x} )'=\frac{1}{\sqrt[6]{x} } *\frac{1}{6} x^{-\frac{5}{6} } =\frac{1}{6\sqrt[6]{x}*\sqrt[6]{x^5}  } =\frac{1}{6x}

Вас заинтересует