Очень нужно, помогите пожалуйста!!!
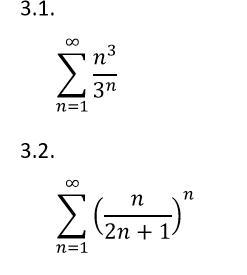
Используя признаки Даламбера и Коши исследовать сходимость рядов.
Приложения:

Ответы
Ответ дал:
5
Ответ:
Пошаговое объяснение:
3.1
признак Даламбера
при q < 1 - ряд сходится, q > 1 - ряд расходится, q = 1 -
q < 1 - ряд сходится
3.2
признак Коши
q < 1 - ряд сходится
pandacooll28:
А можно 3.2. еще, пожалуйста!
Вас заинтересует
2 года назад
2 года назад
2 года назад
7 лет назад
7 лет назад
9 лет назад
9 лет назад