• Предмет: Алгебра
  • Автор: d1magordi3nko
  • Вопрос задан 3 года назад

3. Розв'язати рівняння:
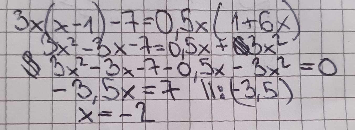
1) 3х (х – 1) — 7 = 0,5x (1 + 6x);
x – 2
2х + 9
2)
4
= 3.
6
ото​

Ответы

Ответ дал: cashpass01
1

Ответ:

На фото!

Объяснение:

Приложения:
Вас заинтересует