• Предмет: Алгебра
  • Автор: sksksksld
  • Вопрос задан 3 года назад

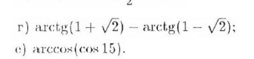
ДАМ 35 баллов!Помогите решить под буквой (г)

Приложения:

Ответы

Ответ дал: NNNLLL54
0

Ответ:

1)\ \ arctg(1+\sqrt2)-arctg(1-\sqrt2)=arctg(1+\sqrt2)+arctg(\sqrt2-1)=\\\\=arctg(1+\sqrt2)+arctg\dfrac{1}{1+\sqrt2}=arctg(1+\sqrt2)+arcctg(1+\sqrt2)=\dfrac{\pi}{2}

2)\ \ arccos(cos15^\circ )=15^\circ \\\\Esli\ 15\ radian\ ,\ to\ \ arccos(cos15)=arccos(cos(15-2\pi))=15-2\pi \ ,\\\\tak\ kak\ \ (15-2\pi )\in [\ 0\ ;\ \pi\ ]


tamarabernukho: Г)
Вас заинтересует