Распишите, пожалуйста, подробнее группировку. Не понимаю, как из первого получилось второе.
Приложения:

Ответы
Ответ дал:
1
Ответ:
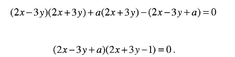
(2x-3y)(2x+3y)+a(2x+3y)-(2x-3y+a)=0
(2x+3y)(2x-3y+a)-(2x-3y+a)=0
(2x-3y+a)(2x+3y-1)=0
Объяснение:
(2x-3y)(2x+3y)+a(2x+3y)=(2x+3y)(2x-3y+a) Вынесли (2x+3y) за скобки.
(2x+3y)(2x-3y+a)-(2x-3y+a)=(2x-3y+a)(2x+3y-1) Вынесли (2x-3y+a) за скобки.
AverageBoomer:
Спасибо большое!
Вас заинтересует
2 года назад
2 года назад
2 года назад
9 лет назад