Программирование c++

Приложения:

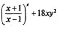
sanchezz28: Вычислить значение выражения по формуле (все переменные принимают
действительные значения)
restIess: учитывать, что x != 1 надо?
sanchezz28: не указано

Ответы

Ответ дал: restIess
0

#include <iostream>

#include <cmath>

using namespace std;

int main() {

setlocale(LC_ALL, "Rus");

double zn,x, y;

cin >> x >> y;

if (x != 1) {

 zn = pow(((x + 1) / (x - 1)), x) + 18 * x * pow(y,2);

 cout << zn;

}

else {

 cout << "При X = 1 возникает деление на 0!";

}

return 0;

}

Вас заинтересует