СРОЧНО,ПОМОГИТЕ,ПОЖАЛУЙСТА .НУЖНО СВЕРИТЬ ОТВЕТ
мне ккажется я неправильно вообще решила,поэтому помогите решить и заодно ответ сверю,заранее благодарю
Приложения:

Ответы
Ответ дал:
1
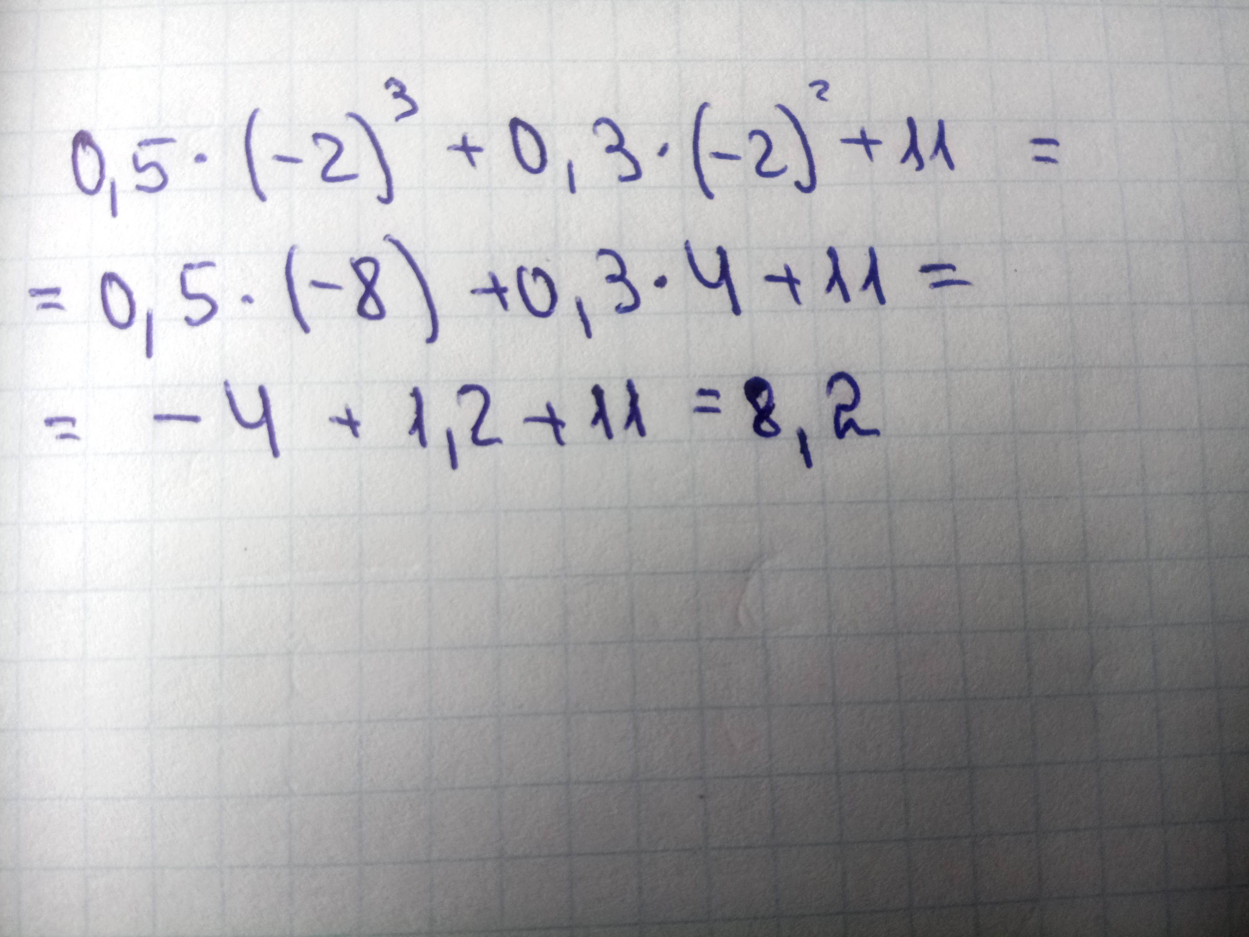
Решение задания прилагаю
Приложения:

ashanova81:
еще раз спасибо!
Ответ дал:
2
Ответ:
вот решение на фотографии
Приложения:

Вас заинтересует
2 года назад
2 года назад
2 года назад
7 лет назад
7 лет назад
9 лет назад
9 лет назад