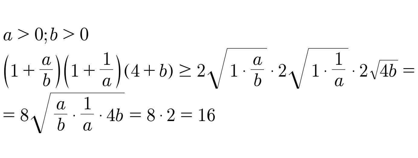
Доведіть що коли а>0 і в>0,то (1+а/в)(1+1/а)(4+в)>=16
tamarabernukho:
НЕРАВЕНСТВО Коши знаете?
Ответы
Ответ дал:
2
Решение задания прилагаю
Приложения:

Ответ дал:
2
Ответ:
Объяснение:
Воспользуемся неравенством Коши
Приложения:

Вас заинтересует
2 года назад
2 года назад
2 года назад
7 лет назад
7 лет назад
9 лет назад