• Предмет: Математика
  • Автор: unknownsecret75
  • Вопрос задан 3 года назад

Математика 2 курс, ДиффУравнения, помогите сдать долги)
всех с новым годом)

Приложения:

Ответы

Ответ дал: Miroslava227
1

Ответ:

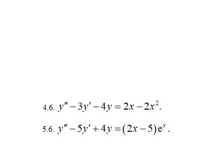
4.6

1) ОЛДУ:

y'' - 3y' - 4y = 0 \\ y =  {e}^{kx}  \\  {e}^{kx} ( {k}^{2}  - 3k - 4) = 0 \\ D= 9 + 16 = 25 \\ k1 =  \frac{3 + 5}{2} = 4 \\ k2 =  - 1 \\ y = C1 {e}^{4x} +  C2 {e}^{ - x}

2) Подбираем у с неопределенными коэффициентами:

у = A {x}^{2}  + Bx + C \\ у' = 2Ax + B \\ у'' = 2A

подставляем в НЛДУ:

2A -3( 2Ax + B) - 4(A {x}^{2}  + Bx + C) = 2x - 2 {x}^{2}  \\ 2A - 6Ax - 3B - 4A {x}^{2}  - 4Bx - 4C = 2x - 2 {x}^{2}

 - 4A =  - 2 \\  - 6A - 4B = 2 \\ 2A  - 3B- 4C= 0 \\  \\ A =  \frac{1}{2}  \\ B=  \frac{1}{4} ( - 6A - 2) =  -  \frac{5}{4}  \\ C =  \frac{1}{4} (2A - 3B) =  \\  =  \frac{1}{4} (1 +  \frac{15}{4} ) =  \frac{1}{4}  \times  \frac{19}{4}  =  \frac{19}{16}

получаем

у =  \frac{ {x}^{2} }{2}  -  \frac{5x}{4}  +  \frac{19}{16}  \\

общее решение:

y = C1 {e}^{4x} +  C2 {e}^{ - x}  +  \frac{ {x}^{2} }{2}  -  \frac{5x}{4} +  \frac{19}{16}   \\

5.6

1)ОЛДУ:

y'' - 5y' + 4y = 0 \\ y =  {e}^{kx}  \\  {k}^{2} - 5 k + 4 = 0 \\ D= 25 - 16 = 9 \\ k1 =  \frac{5 + 3}{2} = 4 \\  k2 = 1 \\ y = C1 {e}^{4x} +  C2 {e}^{x}

2) подбираем у с неопределенными коэффициентми:

у =  {e}^{x} (Ax  + B) \times x

умножаем еще на х, так как коэффициенты у "е" совпадают.

у =  {e}^{x} (A {x}^{2}  + Bx)

у'=  {e}^{x} (A {x}^{2}  + Bx) +  {e}^{x} (2Ax + B) =  \\  =  {e}^{x} ( A{x}^{2} + 2 Ax + Bx + B)

у'' =   {e}^{x}  (A {x}^{2}  + 2Ax + Bx + B) +  {e}^{x} (2Ax + 2A + B) =  \\  =  {e}^{x} ( A{x}^{2}  + 4Ax + Bx + 2A + 2B)

В НЛДУ (сразу выносим е^х за скобку):

 {e}^{x} (a {x}^{2}  + 4Ax + Bx + 2A + 2B - 5(A {x}^{2}  + 2Ax + Bx + B) + 4( A{x}^{2} +  Bx)) =  {e}^{x} (2x - 5) \\  {e}^{x} (A {x}^{2}  + 4Ax + Bx + 2A + 2B - 5A {x}^{2}  - 10Ax - 5Bx - 5B + 4A {x}^{2}  + 4Bx) =  {e}^{x} (2x - 5) \\   {e}^{x}( - 6Ax + 2A- 3B)  =  {e}^{x} (2x - 5)

система:

 - 6 A= 2 \\ 2A - 3B =  - 5 \\  \\ A =  -  \frac{1}{3} \\  B = \frac{1}{3}  (2A + 5) =  \frac{1}{3} (5 -  \frac{2}{3} ) =  \\  =  \frac{1}{3}  \times  \frac{13}{3}  =  \frac{13}{9}

получаем:

у =  {e}^{x} ( -  \frac{ {x}^{2} }{3}  +  \frac{13x}{9} ) \\

общее решение:

y = C1 {e}^{4x} +  C2 {e}^{x}  +  {e}^{x} ( \frac{13x}{9}  -  \frac{ {x}^{2} }{3} ) \\

Вас заинтересует